The photos you provided may be used to improve Bing image processing services.
Privacy Policy
|
Terms of Use
Can't use this link. Check that your link starts with 'http://' or 'https://' to try again.
Unable to process this search. Please try a different image or keywords.
Try Visual Search
Search, identify objects and text, translate, or solve problems using an image
Drag one or more images here,
upload an image
or
open camera
Drop images here to start your search
To use Visual Search, enable the camera in this browser
All
Search
Images
Inspiration
Create
Collections
Videos
Maps
News
More
Shopping
Flights
Travel
Notebook
Top suggestions for Function Call Relation
Relation
of a Function
Function Call
Function
or Relation
Relation Function
Graph
How to Call
a Function Python
Relation Function
Examples
Is the
Relation a Function
Function
vs Relation
Relation and Function
Diagram
What Is
Function Call
Function Call
Openai
Difference of
Function and Relation
Difference Between
Relation and Function
Is Many to One
Relation a Function
How to Call
a Function in JavaScript
Function Call
Implementation
GPT
Function Call
Function Call
Stack
Types of
Relation in Function
LLM
Function Call
Function Call
C++
Cannot Call
a Class as a Function
New
Function Call
ISR and
Function Call
Function Call
Chart
Which Relation
Is a Function
Defintion of a
Function From a Relation
Function Call
Crowd
Function Call
介绍
Function Call
Block
Relation Function
Definition
Relation
ND Function
Function Call
in AutoHotkey
Function Call
Geeks for Geeks
API
Function Call
Steps to
Call a Function
React
Function Call
Function Call
Correct
Ai
Function Call
Applications of
Relations and Functions
Relations and Function
Line
Software
Function Calls
Function Call
This
Function Call
Model
Function Call
Tree
MATLAB How to Display
Function Call Chart
Relation and Function
Background
Function Call
Visualizer
A Relation
That Is a Function
Function or Relation
Identifier
Explore more searches like Function Call Relation
That
Is
Difference
Between
Distinguish
Between
Plain
Background
That Is
Not
Solve
Examples
Simple
Way
College
Algebra
Venn
Diagram
What
is
Math Is
Fun
What Is Difference
Between
Problem
Solving
Grade
8
Detailed Lesson
Plan
Advance
Study
Contoh
Soal
But
Not
Ppt
PDF
Graph
PNG
What Is
Total
Best
Chart
Gerald
Anderson
Calculus
Formulas
Discrete
Mathematics
Is
Given
Real Life
Examples
When
Is
Definition
Difference
vs
PDF
Examples
Ordered
Pairs
Cover
Page
Maths
Represents
Differentiate
Why
Is
People interested in Function Call Relation also searched for
Math
Design
Is
Mapping Diagrams
Delta Math
How
Find
Motivation Activity.
About
Meaning
Math
Parts
All
Symbols
IMS
For
Thumbnail
Relation Function
Calculator
Autoplay all GIFs
Change autoplay and other image settings here
Autoplay all GIFs
Flip the switch to turn them on
Autoplay GIFs
Image size
All
Small
Medium
Large
Extra large
At least... *
Customized Width
x
Customized Height
px
Please enter a number for Width and Height
Color
All
Color only
Black & white
Type
All
Photograph
Clipart
Line drawing
Animated GIF
Transparent
Layout
All
Square
Wide
Tall
People
All
Just faces
Head & shoulders
Date
All
Past 24 hours
Past week
Past month
Past year
License
All
All Creative Commons
Public domain
Free to share and use
Free to share and use commercially
Free to modify, share, and use
Free to modify, share, and use commercially
Learn more
Clear filters
SafeSearch:
Moderate
Strict
Moderate (default)
Off
Filter
Relation
of a Function
Function Call
Function
or Relation
Relation Function
Graph
How to Call
a Function Python
Relation Function
Examples
Is the
Relation a Function
Function
vs Relation
Relation and Function
Diagram
What Is
Function Call
Function Call
Openai
Difference of
Function and Relation
Difference Between
Relation and Function
Is Many to One
Relation a Function
How to Call
a Function in JavaScript
Function Call
Implementation
GPT
Function Call
Function Call
Stack
Types of
Relation in Function
LLM
Function Call
Function Call
C++
Cannot Call
a Class as a Function
New
Function Call
ISR and
Function Call
Function Call
Chart
Which Relation
Is a Function
Defintion of a
Function From a Relation
Function Call
Crowd
Function Call
介绍
Function Call
Block
Relation Function
Definition
Relation
ND Function
Function Call
in AutoHotkey
Function Call
Geeks for Geeks
API
Function Call
Steps to
Call a Function
React
Function Call
Function Call
Correct
Ai
Function Call
Applications of
Relations and Functions
Relations and Function
Line
Software
Function Calls
Function Call
This
Function Call
Model
Function Call
Tree
MATLAB How to Display
Function Call Chart
Relation and Function
Background
Function Call
Visualizer
A Relation
That Is a Function
Function or Relation
Identifier
2048×1536
slideshare.net
FUNCTION (Function & Relation) | PPTX
606×591
Online Math Learning
Relations And Functions (video lessons, example…
850×324
researchgate.net
Relation graph between all system call function and kernel variables ...
960×720
fity.club
Relation And Function Difference Between Functions And Relations
Related Products
Relation Function Calculator
Relation Function Grapher
Relation Function Book
698×393
researchgate.net
Relation example: call relation | Download Scientific Diagram
460×345
www.wikihow.com
How to Determine if a Relation is a Function: Easy Guide
400×400
jdmeducational.com
Difference Between A Function & A Relation (3 Examples) – JDM Ed…
640×640
researchgate.net
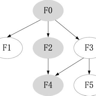
Function Call Relationships. | Dow…
800×454
networkinterview.com
What Is A Function Call? Enhancing Your Code With Effective Use of ...
756×216
researchgate.net
An example of a call relation | Download Scientific Diagram
572×296
Preshing
How C++ Resolves a Function Call
Explore more searches like
Function
Call
Relation
That Is
Difference Between
Distinguish Between
Plain Background
That Is Not
Solve Examples
Simple Way
College Algebra
Venn Diagram
What is
Math Is Fun
What Is Difference B
…
640×640
ResearchGate
Function call graph with external functions | Downlo…
320×320
researchgate.net
The function call stack of test_obf.exe | Download Sci…
542×421
ResearchGate
Function call graph with external functions | Download Scientific Diagr…
1200×1700
studocu.com
Function and relation - Here ar…
602×536
researchgate.net
4: Instructions for Function Call and Return | Download Scientifi…
792×612
ar.inspiredpencil.com
Relation And Function
600×663
researchgate.net
An example of the function call graph. | …
1166×1766
deepinfra.com
Enhancing Open-Source …
3024×4352
developers.openai.com
Function calling | OpenAI API
1780×1024
phoenix.arize.com
LLM Function Calling: Evaluating Tool Calls In LLM Pipelines
768×994
studylib.net
Relations and Functions: Defin…
1050×642
blog.mlq.ai
Parallel Function Calling for Financial Statements
278×278
researchgate.net
Calling relationship of 4 function libraries | Do…
1908×1464
fusionchat.ai
Mastering the Function Calling Method: A Comprehensive Gui…
500×360
bentoml.com
Function Calling with Open-Source LLMs
1900×1000
apideck.com
An introduction to function calling and tool use
327×327
researchgate.net
Chart of function calls between objects. | Downl…
670×456
learn.microsoft.com
Function calling with chat completion | Microsoft Learn
1024×835
thenewstack.io
A Comprehensive Guide to Function Calling in LLMs - The …
People interested in
Function
Call
Relation
also searched for
Math Design
Is
Mapping Diagrams Del
…
How Find
Motivation Activity. About
Meaning Math
Parts
All Symbols
IMS For
Thumbnail
Relation Function Cal
…
1280×648
wj-mcat.github.io
Function Call 技术详解 | 《Agent Handbook》
1024×474
medium.com
Enhancing Applications with Function Calling Using the Llama API | by ...
1418×914
hoccodeai.com
Giới thiệu về Function Calling - Mở rộng khả năng của LLM
600×412
researchgate.net
Call relationship of each section of the program. | Download Scientific ...
1397×760
wulucxy.github.io
Agent 设计模式——function calling
Some results have been hidden because they may be inaccessible to you.
Show inaccessible results
Report an inappropriate content
Please select one of the options below.
Not Relevant
Offensive
Adult
Child Sexual Abuse
Feedback