The photos you provided may be used to improve Bing image processing services.
Privacy Policy
|
Terms of Use
Can't use this link. Check that your link starts with 'http://' or 'https://' to try again.
Unable to process this search. Please try a different image or keywords.
Try Visual Search
Search, identify objects and text, translate, or solve problems using an image
Drag one or more images here,
upload an image
or
open camera
Drop images here to start your search
To use Visual Search, enable the camera in this browser
All
Search
Images
Inspiration
Create
Collections
Videos
Maps
News
More
Shopping
Flights
Travel
Notebook
Top suggestions for Financial Statement Questionexample
Business Financial Statement
Example
Monthly
Financial Statement
Financial Statement
Form
Personal
Financial Statement
Blank Financial Statement
Forms
Simple
Financial Statement
Financial Statement
Sample PDF
Financial Statement
Template
Personal Financial Statement
Excel
Basic
Financial Statements
Financial Statement
Balance Sheet
Individual Personal
Financial Statement Form
Financial Statement
Income Statement
Financial Statements
Accounting
Financial Statement
Format
Bank Business
Financial Statement Forms
Corporate
Financial Statement
Financial Statement
Annual Report
Church Financial Statement
Template
Profit and Loss
Statement
Fillable Personal
Financial Statement Template
Standard
Financial Statement
Statement of Financial
Position
Printable Financial Statement
Form
Financial
Reporting
Trust Financial Statement
Template
4
Financial Statements
Financial Statement
Effects Template
Audited Financial Statement
Example
Financial Statement
Accounts
Financial Statement
PNG
Financial Statements
Types
Financial Statement
Background
Consolidated
Financial Statements
Financial Statement
Notes Examples
Financial Statement
Cover Page
Cash Flow
Statement
3
Financial Statements
Statement of Financial
Performance Example
Financial Statement
Clip Art
Personal Statement
for Accounting and Finance
Financial Statement
Audit Report
Financial Statement
Meaning
Form E
Financial Statement Example
Financial Statement
Order
Personal Financial Statement
Template Free Word
Financial Statement
Logo
Copy of Business
Financial Statement
Financial
Disclosure Statement
Pro Forma
Financial Statements
Explore more searches like Financial Statement Questionexample
Annual
Report
Balance Sheet
Template
Notes
Examples
Audit
Report
Cash
Flow
Excel
Sheet
Balance
Sheet
Cover
Page
Notes
Template
Analysis
Template
Ratio
Analysis
Small
Church
Template for
School
Box
Template
Position
Example
Individual
Personal
Review
Example
Clip
Art
Small
Business
White
Color
Assets
Liabilities
Cover
Sheet
Cheat
Sheet
Spreadsheet
Template
Printable Blank
Personal
Format
For
Sample
Excel
Template
Word
Philippines
Summary
Income
Order
Simple
Annual
Presentation
Template
Easy
For Business
Plan
Template Excel
Free
People interested in Financial Statement Questionexample also searched for
Tutorial for
Beginners
Ultimate
Guide
How
Write
Analysis
Example
Sample
Philippines
For
Company
Example
Sample
Audited
Falsifi
Autoplay all GIFs
Change autoplay and other image settings here
Autoplay all GIFs
Flip the switch to turn them on
Autoplay GIFs
Image size
All
Small
Medium
Large
Extra large
At least... *
Customized Width
x
Customized Height
px
Please enter a number for Width and Height
Color
All
Color only
Black & white
Type
All
Photograph
Clipart
Line drawing
Animated GIF
Transparent
Layout
All
Square
Wide
Tall
People
All
Just faces
Head & shoulders
Date
All
Past 24 hours
Past week
Past month
Past year
License
All
All Creative Commons
Public domain
Free to share and use
Free to share and use commercially
Free to modify, share, and use
Free to modify, share, and use commercially
Learn more
Clear filters
SafeSearch:
Moderate
Strict
Moderate (default)
Off
Filter
Business Financial Statement
Example
Monthly
Financial Statement
Financial Statement
Form
Personal
Financial Statement
Blank Financial Statement
Forms
Simple
Financial Statement
Financial Statement
Sample PDF
Financial Statement
Template
Personal Financial Statement
Excel
Basic
Financial Statements
Financial Statement
Balance Sheet
Individual Personal
Financial Statement Form
Financial Statement
Income Statement
Financial Statements
Accounting
Financial Statement
Format
Bank Business
Financial Statement Forms
Corporate
Financial Statement
Financial Statement
Annual Report
Church Financial Statement
Template
Profit and Loss
Statement
Fillable Personal
Financial Statement Template
Standard
Financial Statement
Statement of Financial
Position
Printable Financial Statement
Form
Financial
Reporting
Trust Financial Statement
Template
4
Financial Statements
Financial Statement
Effects Template
Audited Financial Statement
Example
Financial Statement
Accounts
Financial Statement
PNG
Financial Statements
Types
Financial Statement
Background
Consolidated
Financial Statements
Financial Statement
Notes Examples
Financial Statement
Cover Page
Cash Flow
Statement
3
Financial Statements
Statement of Financial
Performance Example
Financial Statement
Clip Art
Personal Statement
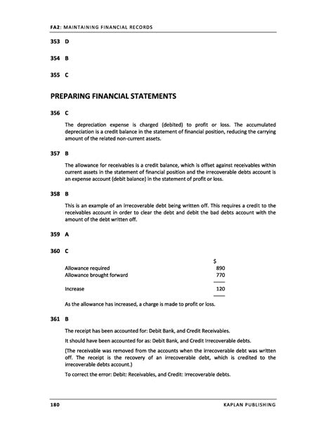
for Accounting and Finance
Financial Statement
Audit Report
Financial Statement
Meaning
Form E
Financial Statement Example
Financial Statement
Order
Personal Financial Statement
Template Free Word
Financial Statement
Logo
Copy of Business
Financial Statement
Financial
Disclosure Statement
Pro Forma
Financial Statements
768×1024
scribd.com
Financial Statement Analysis Question Papers | PDF
768×1024
scribd.com
Financial Statements 24 Questions Answers | PDF | I…
Related Searches
Financial Statement
Annual
Report
Financial Statement
Balance
Sheet
Template
Financial Statement
Notes
Examples
Financial Statement
Audit
Report
1200×1834
slidesdocs.com
Annual Financial Report Statement Excel Template A…
768×994
studylib.net
Week 5 Financial Statement Analysis Sample Question
998×1386
chegg.com
Solved EXERCISE I: FINANCIAL STATEMENT # …
768×1024
scribd.com
Financial Statement Analysis Guide | PDF | Dividend | Val…
768×1024
scribd.com
Financial Statement Analysis: Multiple Choice Questions | …
768×1024
scribd.com
Financial Statements - Lesson 02 (Part 2) Questions | PDF …
1200×1111
slidesdocs.com
Free Financial Statement Analysis System Templates …
768×1024
scribd.com
Financial Statement Analysis - Quick Check Questions | PD…
1140×1256
study.com
Quiz & Worksheet - Financial Statement Analysis Problem…
1200×1036
animalia-life.club
Excel Template Financial Statement
768×1024
scribd.com
Financial Statement Analysis Problem and Answer All Ch…
1200×1698
studocu.com
Jun'19 FS Answer - financial statement - TOPIC: FINANC…
768×1024
scribd.com
Case Study Question and Answer On Consolidated Fi…
768×1024
scribd.com
Unit-3 Financial-Statements Class-Exercise Questions | …
768×994
studylib.net
Financial Statement Analysis Problems & Solutions
1200×1698
studocu.com
Financial statement questions - Managerial Accounting - S…
1200×1014
slidesdocs.com
Financial Statement Analysis Report Template Form Exce…
920×881
animalia-life.club
Excel Template Financial Statement
1620×2292
studypool.com
SOLUTION: Important financial statement question…
180×234
coursehero.com
Financial Statement Questions and Answers.docx - Financi…
768×1024
scribd.com
Questions Financial Statements Financial Analys…
768×1024
scribd.com
Questions On Preparation of Financial Statements 1-4 | P…
768×1024
scribd.com
Financial Statement Analysis Problems Overview - Templ…
1200×1553
studocu.com
Financial statement - ANSWER - Diploma in Acco…
600×730
dev.youngvic.org
Corporate Financial Statement Template, Financial Statem…
495×640
slideshare.net
Questions On A Financial Statement | PDF
Related Searches
Cash
Flow
Financial Statement
Financial Statement
Excel
Sheet
Financial Statement
and
Balance
Sheet
Financial Statement
Cover
Page
Related Products
Financial Statement Analysis Book
Financial Statement Template Excel
Personal Financial Statement Form
Financial Statements Book
768×1024
scribd.com
Financial Reporting Questions and Answer | PDF | Book Va…
768×1024
scribd.com
Analysis of Financial Statements Solved MCQs (…
700×443
chegg.com
Solved Financial Statement Analysis – AssignmentModu…
1148×1080
chegg.com
Solved Question 1 [Financial Statement Analysis] [60] | C…
Related Searches
Financial Statement
Tutorial
for
Beginners
Financial Statement
Ultimate
Guide
How
to
Write
a
Financial Statement
Financial Statement
Analysis
Example
1276×1244
chegg.com
Use the financial statement to answer the questions | Cheg…
714×1002
chegg.com
Answer ALL questions. QUESTION 1 FINANCIAL S…
1200×927
studocu.com
Financial statement analysis- Solved problems - Financial …
Some results have been hidden because they may be inaccessible to you.
Show inaccessible results
Report an inappropriate content
Please select one of the options below.
Not Relevant
Offensive
Adult
Child Sexual Abuse
Feedback