The photos you provided may be used to improve Bing image processing services.
Privacy Policy
|
Terms of Use
Can't use this link. Check that your link starts with 'http://' or 'https://' to try again.
Unable to process this search. Please try a different image or keywords.
Try Visual Search
Search, identify objects and text, translate, or solve problems using an image
Drag one or more images here,
upload an image
or
open camera
Drop images here to start your search
To use Visual Search, enable the camera in this browser
All
Search
Images
Inspiration
Create
Collections
Videos
Maps
News
More
Shopping
Flights
Travel
Notebook
Top suggestions for Draw F in Python Coding
Python Coding
Beginners
Python Coding
Exercises
Learn
Python Coding
Python Coding
Games
Python Coding
Easy
Python Coding
Tutorial
How to Learn
Python Coding
Python Coding
for Kids
Python
Simple Coding
Basics of
Coding Python
Python Coding
Symbol
Computer
Coding Python
Code of
Python
Basic Coding
for Python
Python
Coder
Python Coding
Icon
Python Coding
Language
Writing Python
Code
Python Coding
Projects
Python
Facts Coding
Intro to
Python
Advanced
Python Coding
Programming
in Python
Installing
Python
Python
3 Code
How to Use
Python
Python
Cheat Sheet
Python
First Code
Python
2.7
Python
Console
Input Code
Python
Python
Code Editor
Python Coding
Colors
Visual Studio Code
Python
Python Coding
Page
Python
Beginner Code
How to Write Python Code
Best Python
Codes
Python
Block Coding
How to Do
Python
Python Coding
Practice
Python
Compiler
How to Code Using
Python
Return
Python
Simple Python
Game Code
Learning
Python
Python
Library Code
Python
Web
Microsoft
Python
Python
If Code
Explore more searches like Draw F in Python Coding
Easy
Steps
Math
Games
Look
Like
How It
Works
Raspberry
Pi
Wallpaper
4K
Computer
Science
Different
Shapes
Group
Kids
For
Loop
Software
Download
Student
Biodata
Games
for Kids
Book
PDF
Basics for
Beginners
Fibonacci
Series
One
Minute
Images
Download
Earth
Logo
Computer
Engineer
JPG
Images
Drawing
For
Office
Use
Who
Owns
IDE
Screen
What It Looks
Like
Error
Message
Windows
7
Aesthetic
Images
Advanced
1444P
Logo
Language
If
Else
Examples
Background
Black
Hard
Purpose
Program
For
Inspiration
Free
Images
Language
Games
What
Learn
People interested in Draw F in Python Coding also searched for
Images for
Website
No
Background
For
Anime
Conventions
Guide
Download
For
Website
Template
Some
Simple
Projects
Open-Ended
Autoplay all GIFs
Change autoplay and other image settings here
Autoplay all GIFs
Flip the switch to turn them on
Autoplay GIFs
Image size
All
Small
Medium
Large
Extra large
At least... *
Customized Width
x
Customized Height
px
Please enter a number for Width and Height
Color
All
Color only
Black & white
Type
All
Photograph
Clipart
Line drawing
Animated GIF
Transparent
Layout
All
Square
Wide
Tall
People
All
Just faces
Head & shoulders
Date
All
Past 24 hours
Past week
Past month
Past year
License
All
All Creative Commons
Public domain
Free to share and use
Free to share and use commercially
Free to modify, share, and use
Free to modify, share, and use commercially
Learn more
Clear filters
SafeSearch:
Moderate
Strict
Moderate (default)
Off
Filter
Python Coding
Beginners
Python Coding
Exercises
Learn
Python Coding
Python Coding
Games
Python Coding
Easy
Python Coding
Tutorial
How to Learn
Python Coding
Python Coding
for Kids
Python
Simple Coding
Basics of
Coding Python
Python Coding
Symbol
Computer
Coding Python
Code of
Python
Basic Coding
for Python
Python
Coder
Python Coding
Icon
Python Coding
Language
Writing Python
Code
Python Coding
Projects
Python
Facts Coding
Intro to
Python
Advanced
Python Coding
Programming
in Python
Installing
Python
Python
3 Code
How to Use
Python
Python
Cheat Sheet
Python
First Code
Python
2.7
Python
Console
Input Code
Python
Python
Code Editor
Python Coding
Colors
Visual Studio Code
Python
Python Coding
Page
Python
Beginner Code
How to Write Python Code
Best Python
Codes
Python
Block Coding
How to Do
Python
Python Coding
Practice
Python
Compiler
How to Code Using
Python
Return
Python
Simple Python
Game Code
Learning
Python
Python
Library Code
Python
Web
Microsoft
Python
Python
If Code
768×1024
scribd.com
Python - How and Why To Use F …
1200×900
askpython.com
Understanding Python f-string - AskPython
501×271
techbeamers.com
Python F String - TechBeamers
1080×1080
clcoding.com
How to Use Python f-Strings? ~ Computer L…
Related Products
Python Coding Books
Python Coding Stickers
Python Books
800×450
sparkbyexamples.com
F-strings in Python - Spark By {Examples}
1080×1080
clcoding.gumroad.com
7 Cool Ways To Use F Strings In Python
1080×1080
linkedin.com
9 Powerful and Creative Ways to Use F-Strings i…
512×512
ioflood.com
Python f-string | Usage Guide (With Examples)
1080×1080
twitter.com
Python Coding on Twitter: "7 Cool Ways To Use F …
1010×619
clcoding.com
7 Cool Ways To Use F-Strings In Python ~ Computer Languages (clcoding)
1351×649
fstrings-format-in-python.blogspot.com
f-strings in python
3400×2169
qaqooking.wiki
How To Draw Function In Python
Explore more searches like
Draw F
in Python Coding
Easy Steps
Math Games
Look Like
How It Works
Raspberry Pi
Wallpaper 4K
Computer Science
Different Shapes
Group Kids
For Loop
Software Download
Student Biodata
1200×648
digitaldesignjournal.com
What is f' Python [With Examples]
512×512
time2code.today
Python level 10 - time2code
1906×1187
webzeto.com
What Does f Mean in Python
844×601
drawingtutorials101.com
How to Draw a Python (Reptiles) Step by Step | DrawingTutorials101.com
1920×1080
hackr.io
Python F-Strings | Docs With Examples
664×538
coursehero.com
[Solved] . Question 4 Write a Python program using functi…
800×445
programmingfunda.com
Python f-string Tutorial » Programming Funda
800×600
pythonprogramming.altervista.org
How to draw with Python and tkinter | python programming
600×320
artcraftcentral.com
How To Draw F letter - Art & Craft
1920×1080
Real Python
Drawing Shapes (Video) – Real Python
700×679
chegg.com
Solved DRAW THE FOLLOWING USING P…
600×600
gamedevacademy.org
Python F-Strings Tutorial - Complete Guide - G…
699×700
chegg.com
Solved Write a program to draw a …
628×163
researchgate.net
An example of F-Strings in Python. | Download Scientific Diagram
1401×728
thepythoncode.com
Zipf's Word Frequency Plot with Python - The Python Code
697×363
medium.com
Python — f-strings Useful Tricks. Few tricks about using f-strings in ...
People interested in
Draw F
in Python Coding
also searched for
Images for Website
No Background
For Anime
Conventions
Guide
Download
For Website
Template
Some Simple
Projects
Open-Ended
1400×744
medium.com
F-string: the easiest way to print() in Python - gustavorsantos - Medium
1620×2096
studypool.com
SOLUTION: Draw letter F - Studypool
1280×1210
medium.com
F-string: the easiest way to print() in Python - gustavor…
1516×577
chegg.com
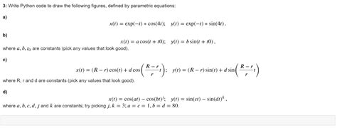
3: Write Python code to draw the following figures, | Chegg.com
1825×841
stackoverflow.com
Python Function - Drawing a Triangle with a python fucntion - Stack ...
1280×720
franksworld.com
F-strings In Python: Everything You Need To Know – Frank's World of ...
1024×683
quickread.in
Unlocking the Full Power of Python f-Strings: 5 Pro Tips for Expert ...
Some results have been hidden because they may be inaccessible to you.
Show inaccessible results
Report an inappropriate content
Please select one of the options below.
Not Relevant
Offensive
Adult
Child Sexual Abuse
Feedback