The photos you provided may be used to improve Bing image processing services.
Privacy Policy
|
Terms of Use
Can't use this link. Check that your link starts with 'http://' or 'https://' to try again.
Unable to process this search. Please try a different image or keywords.
Try Visual Search
Search, identify objects and text, translate, or solve problems using an image
Drag one or more images here,
upload an image
or
open camera
Drop images here to start your search
To use Visual Search, enable the camera in this browser
All
Search
Images
Inspiration
Create
Collections
Videos
Maps
News
More
Shopping
Flights
Travel
Notebook
Top suggestions for Solve iLP Optimization Problem Using MATLAB
Optimization Problems
Optimization Problems
Calculus
Optimization Problem
Example
Optimization
Formula
How to Do
Optimization Problems
Optimization
Examples
How to Set Up an
Optimization Problem
What Optimization Problems
Are to Computationaly Complex to Solve
Optimization
Sample Problems
Constrained
Optimization Problem
Calculus 1
Optimization Practice Problems
Optimization Problems
Calc 1
IT Optimization
Main Problems
Sloving
Optimization Problems
Constraint Optimization
in Solver
Solve Optimization
Function Constrained to Function
Optimization Problems
Taxonomy
Optimization Problems
Calculus with Solutions
Solve Optimization Problems Using
First Derivative Test
Optimization
Proiblems
Nesting to
Solve Two Optimization Problems
How Do Optimization Problems
Use Derivatives
Solve Optimization Problem
Warehouses
Optimization Problem
Solved Out
Steps for How to
Solve Optimization Problem
Optimization Matlab
How to Solve Optimization Problems
with Differentiation
Steps for Solving
Optimization Problems
Optimization Problem
Statement
La Grange Solved Many
Problems
Components of
Optimization Problem
Solve the Optimization Problem
Many Times
La Grange Multipliers to
Solve the Optimization Problem
Constraint Optimization
Lagrangian
What Is the Optmization
Problem
Good Steps to Solve Optimization Problems
in Calc 1
Egg Crate
Problem Optimization
Lagrangian Optimisation
Problem
Conclution for
Optimization Problem Project
Strategy Used for Solvig
Optimization Problem
All Optimization
Types of Problems Calculus
Solving Optimization Problems
Algebra 2
Human Performance as an
Optimization Problem
Method to
Solve Constrained Optimization
Solving Optimization Problem
with Three Variables
Optimization Problem
Computer Science Definition
What to Know Befoe Solving Optimazation
Problem
How Doy UO Solve
with La Grange Mutliplier
Differentiate Between Optimization Problem
and Decision Prolem
Solving Opptimization Problems
Mark Sparks Answer Key Pg 444
Explore more searches like Solve iLP Optimization Problem Using MATLAB
Level
Set
Leaf
Flexure
Tool Box
Logo
Problem
RWA
Design
Software
Cost
Function
Genetic
Plot
Iteration
Mathematical
Dynamic
Examples
Norm
Multiscale
Topology
Multi-Objective
People interested in Solve iLP Optimization Problem Using MATLAB also searched for
Power 4
Equation
Simultaneous
Equations
Physics
Problems
Quadratic
Equation
Autoplay all GIFs
Change autoplay and other image settings here
Autoplay all GIFs
Flip the switch to turn them on
Autoplay GIFs
Image size
All
Small
Medium
Large
Extra large
At least... *
Customized Width
x
Customized Height
px
Please enter a number for Width and Height
Color
All
Color only
Black & white
Type
All
Photograph
Clipart
Line drawing
Animated GIF
Transparent
Layout
All
Square
Wide
Tall
People
All
Just faces
Head & shoulders
Date
All
Past 24 hours
Past week
Past month
Past year
License
All
All Creative Commons
Public domain
Free to share and use
Free to share and use commercially
Free to modify, share, and use
Free to modify, share, and use commercially
Learn more
Clear filters
SafeSearch:
Moderate
Strict
Moderate (default)
Off
Filter
Optimization Problems
Optimization Problems
Calculus
Optimization Problem
Example
Optimization
Formula
How to Do
Optimization Problems
Optimization
Examples
How to Set Up an
Optimization Problem
What Optimization Problems
Are to Computationaly Complex to Solve
Optimization
Sample Problems
Constrained
Optimization Problem
Calculus 1
Optimization Practice Problems
Optimization Problems
Calc 1
IT Optimization
Main Problems
Sloving
Optimization Problems
Constraint Optimization
in Solver
Solve Optimization
Function Constrained to Function
Optimization Problems
Taxonomy
Optimization Problems
Calculus with Solutions
Solve Optimization Problems Using
First Derivative Test
Optimization
Proiblems
Nesting to
Solve Two Optimization Problems
How Do Optimization Problems
Use Derivatives
Solve Optimization Problem
Warehouses
Optimization Problem
Solved Out
Steps for How to
Solve Optimization Problem
Optimization Matlab
How to Solve Optimization Problems
with Differentiation
Steps for Solving
Optimization Problems
Optimization Problem
Statement
La Grange Solved Many
Problems
Components of
Optimization Problem
Solve the Optimization Problem
Many Times
La Grange Multipliers to
Solve the Optimization Problem
Constraint Optimization
Lagrangian
What Is the Optmization
Problem
Good Steps to Solve Optimization Problems
in Calc 1
Egg Crate
Problem Optimization
Lagrangian Optimisation
Problem
Conclution for
Optimization Problem Project
Strategy Used for Solvig
Optimization Problem
All Optimization
Types of Problems Calculus
Solving Optimization Problems
Algebra 2
Human Performance as an
Optimization Problem
Method to
Solve Constrained Optimization
Solving Optimization Problem
with Three Variables
Optimization Problem
Computer Science Definition
What to Know Befoe Solving Optimazation
Problem
How Doy UO Solve
with La Grange Mutliplier
Differentiate Between Optimization Problem
and Decision Prolem
Solving Opptimization Problems
Mark Sparks Answer Key Pg 444
768×1024
scribd.com
Solutions To ILP Formulation Ex…
840×630
blogs.mathworks.com
Which MATLAB Optimization functions can solve my problem…
2104×458
Stack Overflow
Implementing an Optimization problem using matlab - Stack Overflow
1200×600
github.com
GitHub - marcelcases/ilp-optimization: Integer Linear Program ...
850×1202
researchgate.net
(PDF) SOLVING OPTIMIZATION …
850×583
researchgate.net
How can I solve the following optimization problem in MATLAB?
1692×990
chegg.com
Solved Solve the following optimization as a linear | Chegg.com
1024×1412
premiumjs.com
Project Optimization Usin…
768×1024
Scribd
matlab optimization | Linear Programmi…
850×675
researchgate.net
MATLAB ILP wavelength assignment for 5-node topol…
727×459
chegg.com
Solved Problem \#3: Formulate as an ILP \& Solve using Excel | Chegg.com
1600×404
chegg.com
Operations Research Solve the following ILP Problem | Chegg.com
912×585
chegg.com
Solved Problem \#1: Formulate as an ILP \& Solve using Excel | Chegg.com
Explore more searches like
Solve iLP
Optimization
Problem Using
MATLAB
Level Set
Leaf Flexure
Tool Box Logo
Problem
RWA
Design Software
Cost
Function
Genetic
Plot
Iteration
Mathematical
700×383
chegg.com
Solved Problem \#1: Formulate as an ILP \& Solve using Excel | Chegg.com
768×1024
scribd.com
Solving Optimization P…
1200×900
mul.edu.pk
Optimization through MATLAB
1200×1549
yumpu.com
Solving Optimization P…
868×362
chegg.com
Solved Problem 2: codingConsider to use MATLAB function | Chegg.com
850×492
researchgate.net
Additional results from running the optimization model for ILP and LP ...
768×432
datatas.com
How to Use MATLAB for Optimization Problems - Datatas
1920×1080
peerdh.com
Using Matlab For Algorithm Optimization In Predictive Modeling – peerdh.com
191×240
aleksandarhaber.com
Tutorial on Solving Linear …
700×384
chegg.com
Solved Formulate the problem as an LP or ILP model, and then | Chegg.com
850×307
researchgate.net
Sequence of jobs in each operation-ILP optimization algorithm ...
240×320
pdf4pro.com
Solving Optimization P…
660×436
researchgate.net
The illustration of an ILP-assisted two-stage layout optimization ...
850×292
researchgate.net
The proposed multi-objective optimization ILP model | Download ...
320×320
researchgate.net
The proposed multi-objective optimization I…
566×206
chegg.com
Solved The optimization toolbox in MATLAB provides a | Chegg.com
640×640
researchgate.net
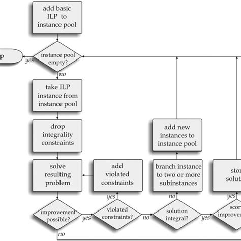
B&C workflow for solving the ILP. The ILP proble…
People interested in
Solve
iLP Optimization Problem Using
MATLAB
also searched for
Power 4 Equation
Simultaneous Equations
Physics Problems
Quadratic Equation
850×671
researchgate.net
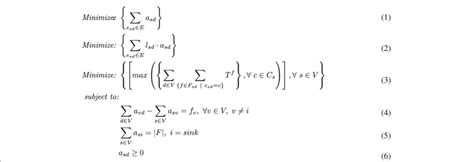
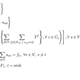
B&C workflow for solving the ILP. The ILP problem with only basic ...
377×276
researchgate.net
Example of an ILP model. | Download Scientific Diagram
640×782
www.reddit.com
help needed: implementation of MI…
560×337
mathworks.com
Solver-Based Optimization Problem Setup - MATLAB & Simulink
696×216
researchgate.net
Relations between the stages in the ILP problem. | Download Scientific ...
Some results have been hidden because they may be inaccessible to you.
Show inaccessible results
Report an inappropriate content
Please select one of the options below.
Not Relevant
Offensive
Adult
Child Sexual Abuse
Feedback