The photos you provided may be used to improve Bing image processing services.
Privacy Policy
|
Terms of Use
Can't use this link. Check that your link starts with 'http://' or 'https://' to try again.
Unable to process this search. Please try a different image or keywords.
Try Visual Search
Search, identify objects and text, translate, or solve problems using an image
Drag one or more images here,
upload an image
or
open camera
Drop image anywhere to start your search
To use Visual Search, enable the camera in this browser
All
Search
Images
Inspiration
Create
Collections
Videos
Maps
News
More
Shopping
Flights
Travel
Notebook
Autoplay all GIFs
Change autoplay and other image settings here
Autoplay all GIFs
Flip the switch to turn them on
Autoplay GIFs
Image size
All
Small
Medium
Large
Extra large
At least... *
Customized Width
x
Customized Height
px
Please enter a number for Width and Height
Color
All
Color only
Black & white
Type
All
Photograph
Clipart
Line drawing
Animated GIF
Transparent
Layout
All
Square
Wide
Tall
People
All
Just faces
Head & shoulders
Date
All
Past 24 hours
Past week
Past month
Past year
License
All
All Creative Commons
Public domain
Free to share and use
Free to share and use commercially
Free to modify, share, and use
Free to modify, share, and use commercially
Learn more
Clear filters
SafeSearch:
Moderate
Strict
Moderate (default)
Off
Filter
2048×1536
slideshare.net
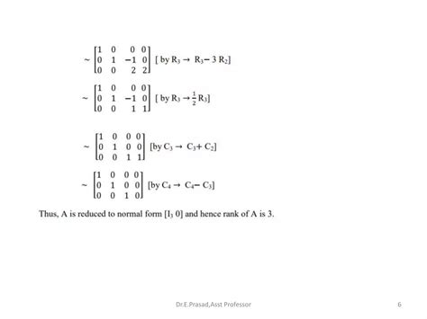
Rank of Matrix_Normal Form .pptx
2048×1536
slideshare.net
Rank of Matrix_Normal Form .pptx
2048×1536
slideshare.net
Rank of Matrix_Normal Form .pptx
640×480
slideshare.net
Rank of Matrix_Normal Form .pptx
320×240
slideshare.net
Rank of Matrix_Normal Form .pptx
1620×2289
studypool.com
SOLUTION: Engineering mat…
1620×2289
studypool.com
SOLUTION: Engineering mat…
1620×2289
studypool.com
SOLUTION: Engineering mat…
4032×3024
askfilo.com
Find the normal form and rank of the matrix: 1 2 -1 4 2 4 3 4 1 2..
1024×2846
askfilo.com
find the rank of a matrix using th…
720×3207
askfilo.com
b) Define rank of matrix, using n…
1168×1650
studypool.com
SOLUTION: Matrices - Inve…
1024×2827
askfilo.com
find the rank of a matrix using th…
1919×653
chegg.com
Solved find the rank of the matrix A by changing to normal | Chegg.com
1024×576
askfilo.com
Find the rank of the matrix by reducing into normal form whicre A is \[ A..
480×240
askfilo.com
Find the rank of the matrix by reducing into normal form whicre A is \[ A..
1024×576
askfilo.com
Find the rank of the matrix by reducing into normal form whire A is \[ \b..
480×221
askfilo.com
Find the rank of the matrix by reducing into normal form whire A is\[\b..
3875×683
askfilo.com
the matrix A to normal form and hence find its rank A=⎣⎡ 2136 3−113 −1−23..
647×400
askfilo.com
Find the rank of matrix reducing it to normal form\A=\left[\begin{array..
1024×768
askfilo.com
Find the rank of the matrix using normal form\[A=\left[\…
3671×989
askfilo.com
Find the rank of a matrix by reducing the normal form ⎣⎡ 2411 −22−1−2 000..
1024×458
askfilo.com
Find the normal form of the matrix and hence find its rank and nullity:(..
1024×361
askfilo.com
Find Normal form of the matrix and find its rank. \[ \left[\begin{array}{..
352×537
debmoran.blogspot.com
Rank Of A 3x4 Matrix Exampl…
1620×1140
studypool.com
SOLUTION: Basic concept of matrices rank of matrix by echelor …
1024×3694
askfilo.com
Find the rank of the matrix, by r…
1937×213
yawin.in
Rank of a Matrix – Yawin
959×950
askfilo.com
Find the rank of the matrix, by reduce it into Normal o…
500×357
quizlet.com
Lecture 4 - Rank of a Matrix and Linear Equations Systems Flashcards ...
1024×234
askfilo.com
A)Reduce to the Normal form and find the rank of the given matrix.$A=\lef..
1200×1697
studocu.com
To find the rank of a matrix usi…
1106×485
askfilo.com
Make normal form and find the rank using elementary row and column transf..
1200×1698
studocu.com
Rank of a matrix and Echelon f…
1280×720
www.youtube.com
Rank of Matrix | How to find rank of Matrix | Engineering Mathematics …
Some results have been hidden because they may be inaccessible to you.
Show inaccessible results
Report an inappropriate content
Please select one of the options below.
Not Relevant
Offensive
Adult
Child Sexual Abuse
Feedback