The photos you provided may be used to improve Bing image processing services.
Privacy Policy
|
Terms of Use
Can't use this link. Check that your link starts with 'http://' or 'https://' to try again.
Unable to process this search. Please try a different image or keywords.
Try Visual Search
Search, identify objects and text, translate, or solve problems using an image
Drag one or more images here,
upload an image
or
open camera
Drop images here to start your search
To use Visual Search, enable the camera in this browser
All
Search
Images
Inspiration
Create
Collections
Videos
Maps
News
More
Shopping
Flights
Travel
Notebook
Top suggestions for P0440 Chevy Code
P0449 Code
Chevrolet
P0440
Dodge
P0440
Toyota
P0440
Jeep
P0442 Chevy
Silverado
P0453
Code
P0443
Code
P0440
Lexus
P0430 Chevy
Silverado
Chevy
Evap System Diagram
Po440 Engine
Code
P0451 Chevy
Silverado
P0441 Toyota
Camry
P0440
BMW
P0455
Nissan
Code P0446 Chevy
S10
P0443
Ford
P0404 Error
Code
P2228
Code Chevy
Chevy Code
P0442 Evap System Small Leak
P0405 Code
Pontiac
P044
Code
P0440 Chevy
Tahoe
P1404
Code Chevy
P0440 Chevy
Monte Carlo
P0440 Chevy
Cavalier
Fault
Code P0440
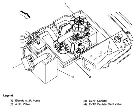
Evap Vent Solenoid
Location
Explore more searches like P0440 Chevy Code
Clip
Art
Diesel
Trucks
Cruze
SS
School
Bus
Sports
Cars
Blazer
EV
Hot Rod
Cars
Muscle
Cars
Tahoe
Rst
Silverado
1500
Pickup
Truck
Wallpaper
4K
K5
Blazer
Logo.png
Truck
Pics
Pick
Up
Old
School
Silverado 1500
Extended Cab
Camaro
ZL1
Silverado
EV
Silverado
2500HD
Colorado
Truck
Car Line
Up
Duramax
Diesel
Car
Truck
Silverado
ZR2
Electric
Vehicles
Gas Electric
Hybrid
SUV
Lineup
Silverado
EV Wt
Small Compact
Cars
Impala
Car
Apache
Truck
Silverado 2500HD
Crew Cab
Blazer
SUV
Tahoe
Z71
ZR2 Bison
Edition
SS Muscle
Car
Z71
Truck
Corvette
Hatchback
Silverado Pickup
Truck
Coupe
Bolt
Logo
Trailblazer
TrailBlazer
SUV
Silverado
1500 Z71
Cruze
Car
Van
People interested in P0440 Chevy Code also searched for
Monte
Carlo
Silverado
EV Truck
Z71 Trail
Boss
Volt
Logo
Silverado
Trail Boss
Bolt Electric
Car
Cool Truck
Accessories
Badge
Chevy
Bel Air
Symbol
ZR2
2500
Truck
Colorado Pickup
Truck
1953
1957
Autoplay all GIFs
Change autoplay and other image settings here
Autoplay all GIFs
Flip the switch to turn them on
Autoplay GIFs
Image size
All
Small
Medium
Large
Extra large
At least... *
Customized Width
x
Customized Height
px
Please enter a number for Width and Height
Color
All
Color only
Black & white
Type
All
Photograph
Clipart
Line drawing
Animated GIF
Transparent
Layout
All
Square
Wide
Tall
People
All
Just faces
Head & shoulders
Date
All
Past 24 hours
Past week
Past month
Past year
License
All
All Creative Commons
Public domain
Free to share and use
Free to share and use commercially
Free to modify, share, and use
Free to modify, share, and use commercially
Learn more
Clear filters
SafeSearch:
Moderate
Strict
Moderate (default)
Off
Filter
P0449 Code
Chevrolet
P0440
Dodge
P0440
Toyota
P0440
Jeep
P0442 Chevy
Silverado
P0453
Code
P0443
Code
P0440
Lexus
P0430 Chevy
Silverado
Chevy
Evap System Diagram
Po440 Engine
Code
P0451 Chevy
Silverado
P0441 Toyota
Camry
P0440
BMW
P0455
Nissan
Code P0446 Chevy
S10
P0443
Ford
P0404 Error
Code
P2228
Code Chevy
Chevy Code
P0442 Evap System Small Leak
P0405 Code
Pontiac
P044
Code
P0440 Chevy
Tahoe
P1404
Code Chevy
P0440 Chevy
Monte Carlo
P0440 Chevy
Cavalier
Fault
Code P0440
Evap Vent Solenoid
Location
474×504
JustAnswer
Chevy P0440 Code: Expert Q&A on Chevr…
364×323
JustAnswer
Chevy P0440 Code: Expert Q&A on Chevrolet P0440 | …
544×299
JustAnswer
Chevy P0440 Code: Troubleshooting and Solutions | JustAnswer
528×340
JustAnswer
Chevy P0440 Code: Troubleshooting and Solutions | JustAnswer
Related Products
Camaro
Silverado 1500
Corvette C8
528×409
JustAnswer
Chevy P0440 Code: Troubleshooting and Solutio…
576×368
JustAnswer
Chevy P0440 Code: Troubleshooting and Solutions | JustAnswer
560×745
JustAnswer
Chevy P0440 Code: Trouble…
1280×720
goodhood.auto
Decoding the P0440 Code in Your Chevy: Causes and Solutions
1024×559
motoraudit.com
The P0442 Code on Chevy Silverado: Meaning, Causes, and …
1809×2560
www.freeautomechanic.com
Code P0440 on my 1996 Chev…
724×1024
www.freeautomechanic.com
Code P0440 on my 1996 Chev…
1085×1536
www.freeautomechanic.com
Code P0440 on my 1996 Chev…
724×1024
www.freeautomechanic.com
Code P0440 on my 1996 Chev…
1000×250
700r4transmissionhq.com
Chevy Silverado P0440: Evaporative Emission Control System Malfunction ...
Explore more searches like
P0440
Chevy
Code
Clip Art
Diesel Trucks
Cruze SS
School Bus
Sports Cars
Blazer EV
Hot Rod Cars
Muscle Cars
Tahoe Rst
Silverado 1500
Pickup Truck
Wallpaper 4K
1448×1452
700r4transmissionhq.com
Chevy Tahoe P0440: Evaporative Emission Control System Malfunction ...
560×372
www.justanswer.com
What causes a P0440 code on my car?
768×620
obdadvisor.com
P0440 – OBD ADVISOR
480×480
faultcodes.co
P0440 Fault Code Meaning | FaultCodes.co
833×555
roadsumo.com
P0440 Code [Causes and How to Fix]
833×555
roadsumo.com
P0440 Code [Causes and How to Fix]
1190×595
curateview.com
P0440 CODE: What does it mean and How to Fix it
300×169
carscounsel.com
P0440 Code? Here’s How to Fix It – Quickly and Easily …
1280×720
dashfault.net
P0440 Code: Easy Steps to Solve It
1257×1234
JustAnswer
Chevy P0440 Code: Troubleshooting Gas S…
1024×1024
FIXD
P0440 Engine Code | Evaporative Emission Control System Malfun…
1920×1080
FIXD
P0440 Engine Code | Evaporative Emission Control System Malfunction
400×286
2CarPros
Error Code P0440: the Check Engine Light Turned On. Went to ...
920×810
2CarPros
Error Code P0440: the Check Engine Light Turned On. Went to ...
702×854
2CarPros
Error Code P0440: the Check Engine Light Tur…
1500×1295
axleaddict.com
P0440 Code Explained: EVAP System Leak Causes & Fixes - Axl…
People interested in
P0440
Chevy
Code
also searched for
Monte Carlo
Silverado EV Truck
Z71 Trail Boss
Volt Logo
Silverado Trail Boss
Bolt Electric Car
Cool Truck Accessories
Badge
Chevy Bel Air
Symbol
ZR2
2500 Truck
1200×826
automotiveglory.com
What Does Engine Code P0440 Mean - AutomotiveGlory
1024×451
obdcore.com
OBD2 Code P0440: Causes, Symptoms, Diagnosing & Fixes - ObdCore
1024×607
cariffy.com
Troubleshooting Code P0440 Causes and Repair Methods | Cariffy
3024×4032
www.reddit.com
Check engine light code P0440 : r/B…
1280×720
goodhood.auto
Decoding the P0440 Code in Your Toyota: Causes and Solutions
Some results have been hidden because they may be inaccessible to you.
Show inaccessible results
Report an inappropriate content
Please select one of the options below.
Not Relevant
Offensive
Adult
Child Sexual Abuse
Feedback