The photos you provided may be used to improve Bing image processing services.
Privacy Policy
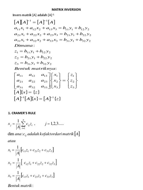
|
Terms of Use
Can't use this link. Check that your link starts with 'http://' or 'https://' to try again.
Unable to process this search. Please try a different image or keywords.
Try Visual Search
Search, identify objects and text, translate, or solve problems using an image
Drag one or more images here,
upload an image
or
open camera
Drop images here to start your search
To use Visual Search, enable the camera in this browser
All
Search
Images
Inspiration
Create
Collections
Videos
Maps
News
More
Shopping
Flights
Travel
Notebook
Autoplay all GIFs
Change autoplay and other image settings here
Autoplay all GIFs
Flip the switch to turn them on
Autoplay GIFs
Image size
All
Small
Medium
Large
Extra large
At least... *
Customized Width
x
Customized Height
px
Please enter a number for Width and Height
Color
All
Color only
Black & white
Type
All
Photograph
Clipart
Line drawing
Animated GIF
Transparent
Layout
All
Square
Wide
Tall
People
All
Just faces
Head & shoulders
Date
All
Past 24 hours
Past week
Past month
Past year
License
All
All Creative Commons
Public domain
Free to share and use
Free to share and use commercially
Free to modify, share, and use
Free to modify, share, and use commercially
Learn more
Clear filters
SafeSearch:
Moderate
Strict
Moderate (default)
Off
Filter
768×1024
scribd.com
A Comprehensive Guide to Solvin…
917×1132
askfilo.com
solve the equation by using matrix inv…
1280×866
chegg.com
Solved Use the matrix inversion method to Solve the | Chegg.com
350×180
www.bartleby.com
Answered: Solve the given system of equation using Matrix Inversion ...
700×525
tessshebaylo.com
Solve The System Of Equations By Matrix Inversion Method - Tesssh…
480×360
tessshebaylo.com
Use Matrix Inversion To Solve The Given System Of Linear Equations ...
1024×5110
askfilo.com
EXERCISES (1) Using matrix in…
977×1091
askfilo.com
using matrix inversion method solve the equ…
1024×2707
askfilo.com
Q. 6(c) Solve the following equa…
5424×2506
askfilo.com
Using the matrix inversion method, solve the following system of equation..
584×148
chegg.com
Solved Use matrix inversion method for solving the system of | Chegg.com
700×179
chegg.com
Solved Using the matrix inversion method, solve the | Chegg.com
1024×712
numerade.com
SOLVED: Write the equations 3x + 4y = 7; 2x + 9y = 11 in the matrix ...
1024×1366
numerade.com
SOLVED: Use matrix inversio…
841×161
chegg.com
Solved Use matrix inversion to solve the given system of | Chegg.com
802×910
brainkart.com
Exercise 1.3: Matrices linear equations by matrix inversi…
630×692
brainkart.com
Exercise 1.3: Matrices linear eq…
468×1120
brainkart.com
Exercise 1.3: Matrices linea…
656×1420
brainkart.com
Exercise 1.3: Matrices linea…
796×1096
brainkart.com
Exercise 1.3: Matrices linea…
1024×619
chegg.com
Solved Use matrix inversion to solve the collection of | Chegg.com
1024×835
chegg.com
Solved Use matrix inversion to solve the collection of | Chegg.com
640×480
tessshebaylo.com
How To Solve Equations Using Matrix Inverse Method - Tessshebaylo
991×954
Chegg
Solved Use matrix inversion to solve the given system of | …
1024×617
chegg.com
Solved Use matrix inversion to solve the given system of | Chegg.com
1548×1046
chegg.com
Solved - Problem 3 Solving a System of Linear Equations | Ch…
2048×1152
slideshare.net
INVERSION OF MATRIX BY GAUSS ELIMINATION METHOD | PPTX
2048×1152
slideshare.net
INVERSION OF MATRIX BY GAUSS ELIMINATION METHOD | PPTX
1054×578
Chegg
Solved a) Use the inverse matrix method to solve the system | Chegg.com
1860×916
chegg.com
Solved Use matrix inversion to solve the collection of | Chegg.com
901×231
gauthmath.com
Solved: Use matrix inversion to solve the given system of linear ...
1024×512
storage.googleapis.com
Linear Equation Inverse Matrix Calculator at Jasper Corral blog
1024×512
storage.googleapis.com
Linear Equation Inverse Matrix Calculator at Jasper Corral blog
1024×768
tessshebaylo.com
Use Inverse Matrix To Solve System Of Linear Equations - Te…
850×1100
researchgate.net
(PDF) SOLVER BY MATRIX INV…
Some results have been hidden because they may be inaccessible to you.
Show inaccessible results
Report an inappropriate content
Please select one of the options below.
Not Relevant
Offensive
Adult
Child Sexual Abuse
Feedback