The photos you provided may be used to improve Bing image processing services.
Privacy Policy
|
Terms of Use
Can't use this link. Check that your link starts with 'http://' or 'https://' to try again.
Unable to process this search. Please try a different image or keywords.
Try Visual Search
Search, identify objects and text, translate, or solve problems using an image
Drag one or more images here,
upload an image
or
open camera
Drop images here to start your search
To use Visual Search, enable the camera in this browser
All
Search
Images
Inspiration
Create
Collections
Videos
Maps
News
More
Shopping
Flights
Travel
Notebook
Top suggestions for Find Surface Area of Rectangular Pyramid
Rectangular Solid
Surface Area
How to Find Surface Area of
a Square Pyramid
Rectangular Based
Pyramid Surface Area
Regular
Pyramid Surface Area
Surface Area
Formula for Pyramid
Triangular
Pyramid Surface Area
Surface Area of
This Rectangular Pyramid
Pyramid Surface Area
and Volume
Pyramid Surface Area
Net
Total Surface Area of
a Pyramid
Triangle
Pyramid Surface Area
Surface Area of Pyramid
Worksheet
Lateral
Surface Area Pyramid
How Do You
Find Surface Area of a Rectangle Pyramid
The Surface Area of
the Rectangular Pyramid Is
Surface Area
and Volume of Rectangular Prism
Surface Area of Pyramid
with Rectangular Base
Rectangular Pyramid
Calculator Surface Area
Find the Indicated Lateral
Surface Area of a Rectangular Pyramid
Surface Area Formula of
a Right Rectangular Pyramid
How to Solve
Surface Area of Rectangular Pyramid
Formula Sheet for Math
Surface Area of a Rectangular Pyramid
Rectangular Pyramid
Shape
How to Find Surface Area of
a Rectangular Npyramid
What Is a
Rectangular Pyramid
Surface Area of
a Rectangular Pyramid Activity
Surface Area and Volume of
a Rectangular Pyramid Game
How to Solve for the
Surface Area for an Retangular Pyramid
Surface Area of
a Right Rectangular Pyramid Cards
Surface Area of
a Rectangular Pyramid Forumula
Right Rectangular Pyramid Surface Area
Practice
Rectangular Pyramid
Vertices
Truncated Rectangular Pyramid
Volume Formula
House with a Rectangular Base and a
Pyramid Roof Find Area
Surface Area
Formula for Rectanglerr Pyramid
How to Find Surface Area of
a Rectanglar Pyramid
Different Way to Calculate
Rectangular Pyramid Surface Area
How to Find the Surface of
a Rectangular Pyramid without Square Root
Surf Ave
Area of Rectangle Pyramid
The Surface Area of the Rectangular Pyramid
Is of 18 13 10 7
Rectangle Pyramids Surface Area
Formulas
Find the Surface Area of
the Pyramid
Find the Surface Area of a Rectangular Pyramid
with a Rectangle Base
Calculator the Surface Areas of
Rectangler Base Pyramids
Pyramid
Volume and Surface Area
Square Based
Pyramid Surface Area
Surface Area of Pyramids
Worksheet
Area of Pyramid
Formula
Rectangular
Base Pyramid
Right
Rectangular Pyramid
Explore more searches like Find Surface Area of Rectangular Pyramid
Formula for
Square
Volume
Worksheets
Square
Base
Geometry
Examples
Formula
Sheet
Triangular
Pentagonal
Rectangular
Prism
Truncated
Square
Triangle
Base
Anchor
Chart
Worksheet.pdf
Free Printable
Worksheets
Square
For
Triangular
Right
Lateral
Rectangular
Worksheet
Answers
Pyramid Surface
Area Examples
Formula for Square
Based
Polygonal
Cube
Rectangular
Base
Diagram
Irregular
Equilateral
Triangle
4
Sided
Autoplay all GIFs
Change autoplay and other image settings here
Autoplay all GIFs
Flip the switch to turn them on
Autoplay GIFs
Image size
All
Small
Medium
Large
Extra large
At least... *
Customized Width
x
Customized Height
px
Please enter a number for Width and Height
Color
All
Color only
Black & white
Type
All
Photograph
Clipart
Line drawing
Animated GIF
Transparent
Layout
All
Square
Wide
Tall
People
All
Just faces
Head & shoulders
Date
All
Past 24 hours
Past week
Past month
Past year
License
All
All Creative Commons
Public domain
Free to share and use
Free to share and use commercially
Free to modify, share, and use
Free to modify, share, and use commercially
Learn more
Clear filters
SafeSearch:
Moderate
Strict
Moderate (default)
Off
Filter
Rectangular Solid
Surface Area
How to Find Surface Area of
a Square Pyramid
Rectangular Based
Pyramid Surface Area
Regular
Pyramid Surface Area
Surface Area
Formula for Pyramid
Triangular
Pyramid Surface Area
Surface Area of
This Rectangular Pyramid
Pyramid Surface Area
and Volume
Pyramid Surface Area
Net
Total Surface Area of
a Pyramid
Triangle
Pyramid Surface Area
Surface Area of Pyramid
Worksheet
Lateral
Surface Area Pyramid
How Do You
Find Surface Area of a Rectangle Pyramid
The Surface Area of
the Rectangular Pyramid Is
Surface Area
and Volume of Rectangular Prism
Surface Area of Pyramid
with Rectangular Base
Rectangular Pyramid
Calculator Surface Area
Find the Indicated Lateral
Surface Area of a Rectangular Pyramid
Surface Area Formula of
a Right Rectangular Pyramid
How to Solve
Surface Area of Rectangular Pyramid
Formula Sheet for Math
Surface Area of a Rectangular Pyramid
Rectangular Pyramid
Shape
How to Find Surface Area of
a Rectangular Npyramid
What Is a
Rectangular Pyramid
Surface Area of
a Rectangular Pyramid Activity
Surface Area and Volume of
a Rectangular Pyramid Game
How to Solve for the
Surface Area for an Retangular Pyramid
Surface Area of
a Right Rectangular Pyramid Cards
Surface Area of
a Rectangular Pyramid Forumula
Right Rectangular Pyramid Surface Area
Practice
Rectangular Pyramid
Vertices
Truncated Rectangular Pyramid
Volume Formula
House with a Rectangular Base and a
Pyramid Roof Find Area
Surface Area
Formula for Rectanglerr Pyramid
How to Find Surface Area of
a Rectanglar Pyramid
Different Way to Calculate
Rectangular Pyramid Surface Area
How to Find the Surface of
a Rectangular Pyramid without Square Root
Surf Ave
Area of Rectangle Pyramid
The Surface Area of the Rectangular Pyramid
Is of 18 13 10 7
Rectangle Pyramids Surface Area
Formulas
Find the Surface Area of
the Pyramid
Find the Surface Area of a Rectangular Pyramid
with a Rectangle Base
Calculator the Surface Areas of
Rectangler Base Pyramids
Pyramid
Volume and Surface Area
Square Based
Pyramid Surface Area
Surface Area of Pyramids
Worksheet
Area of Pyramid
Formula
Rectangular
Base Pyramid
Right
Rectangular Pyramid
768×1024
scribd.com
Surface Area of Rectangular Pyr…
600×567
mathmonks.com
Surface Area of a Rectangular Pyramid – Fo…
600×600
pinnaxis.com
Triangular Pyramid Find Volume Surface Area (F…
1280×720
worksheetshq.com
Surface Area Of Rectangular Pyramid
Related Products
Rectangular Pyramid Calculator
Volume of Rectangular Pyra…
Surface Area Formula
750×798
ataglance.randstad.com
Surface Area Of Rectangular Pyrami…
1290×861
cuemath.com
Total Surface Area of Rectangular Pyramid Formula and Calculation
1500×1101
shutterstock.com
Surface Area Rectangular Pyramid Formula Vector Stock Vector (R…
583×700
chegg.com
Solved The diagram shows a rectangul…
449×317
onlinemath4all.com
Surface Area of Pyramid with Rectangular Base
1074×738
onlinemath4all.com
Surface Area of Pyramid with Rectangular Base
600×816
mathmonks.com
Surface Area of a Pyramid – F…
736×1003
animalia-life.club
Surface Area Of A Rectangular …
825×294
animalia-life.club
Surface Area Of A Rectangular Pyramid
1024×768
animalia-life.club
Surface Area Of A Rectangular Pyramid
Explore more searches like
Find
Surface Area of
Rectangular
Pyramid
Formula for Square
Volume Worksheets
Square Base
Geometry Examples
Formula Sheet
Triangular Pentagonal
Rectangular Prism
Truncated Square
Triangle Base
Anchor Chart
Worksheet.pdf
Free Printable Worksheets
1200×900
animalia-life.club
Surface Area Of A Rectangular Pyramid
1082×1581
animalia-life.club
Surface Area Of A Rectangular …
1000×667
stock.adobe.com
Surface Area of a Rectangular Pyramid on a chalkboard. Formula. …
418×699
gauthmath.com
Solved: (Surface Area of Recta…
1280×720
storage.googleapis.com
How To Find Surface Area Of A Rectangular Based Pyramid at Andrew Rhone ...
1024×222
questionai.com
Find the Surface Area of a Rectangular Pyramid with These Measurements ...
436×232
IXL
IXL | Surface area of rectangular pyramids: whole numbers only | …
693×424
cuemath.com
Rectangular Pyramid - Definition, Properties, Types, Formulas, E…
1024×415
visualfractions.com
Rectangular Pyramid – Visual Fractions
3200×2400
wikiHow > Sophie Burkholder, BA
How to Calculate the Surface Area of a Rectangular Pris…
1344×756
storage.googleapis.com
How To Calculate Surface Area Of A Rectangular Based Pyramid at Chantay ...
1920×1080
storage.googleapis.com
How To Calculate Surface Area Of A Rectangular Based Pyramid at Chant…
1920×1080
storage.googleapis.com
How To Calculate Surface Area Of A Rectangular Based Pyramid at Chant…
1108×1061
gauthmath.com
Solved: A rectangular pyramid is shown in the …
1024×2613
gauthmath.com
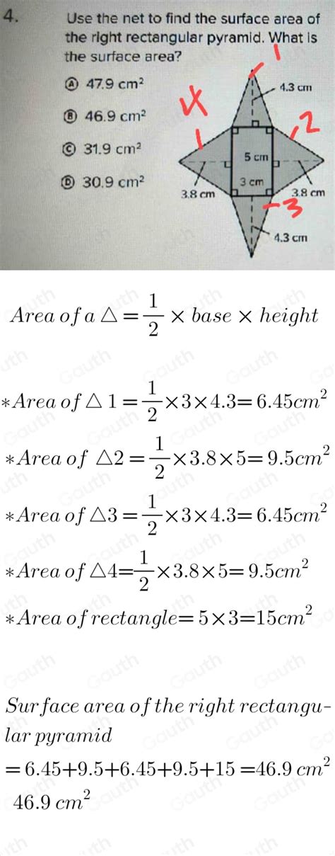
Solved: 4. Use the net to find t…
1422×800
lisaworksheets.com
Lateral Surface Area Regular Pyramid - Free Worksheets Printable
2069×2132
coursehero.com
[Solved] 1 1 point Calculate the surface …
758×672
gauthmath.com
Solved: Use the net to find the surface area of the rig…
495×382
onlinemathlearning.com
Surface Area of a Pyramid (solutions, examples, videos, worksheets)
400×267
tutors.com
How to Find Surface Area of a Pyramid (Formulas & Video)
568×378
tutors.com
How to Find Surface Area of a Pyramid (Formulas & Video)
Some results have been hidden because they may be inaccessible to you.
Show inaccessible results
Report an inappropriate content
Please select one of the options below.
Not Relevant
Offensive
Adult
Child Sexual Abuse
Feedback