The photos you provided may be used to improve Bing image processing services.
Privacy Policy
|
Terms of Use
Can't use this link. Check that your link starts with 'http://' or 'https://' to try again.
Unable to process this search. Please try a different image or keywords.
Try Visual Search
Search, identify objects and text, translate, or solve problems using an image
Drag one or more images here,
upload an image
or
open camera
Drop images here to start your search
To use Visual Search, enable the camera in this browser
All
Search
Images
Inspiration
Create
Collections
Videos
Maps
News
More
Shopping
Flights
Travel
Notebook
Top suggestions for Chapter 5 Maths Class 12 Maths
Class 12 Maths Chapter
Name
Class 12 Maths
NCERT Solutions
Chapters of
Maths Class 12
Class 12 Maths
NCERT Index
Class 12 Maths Chapters
List
Class 12 Maths Chapter 5
Formulas
Class 12 Maths
NCERT PDF
Class 12th
Maths Chapters
Growth Chart Picture of
Class 5 Math Chapter 12
Class 12 Maths
All Chapters
Class 12 Maths Chapter 5
Examples
Maths Activity
Class 12 Chapter 5
Maths Grade 12
Unit 5
Class 12
JEE Maths
Class 12 Maths
NC
Maths Grade 12
Unit 5 Part 1
Class 12 Chapter 5
Formula
Class 12 Maths
Handwritten Notes
Maths Activity Class 12
with Observations
Maths Teacher
Class 12
Class 12 Maths
NCERT Index Page
NCERT Solutions for
Class 12 Maths Chapter 5
Class 12 Maths
NCERT Blueprints
Maths Class 12
Continuity
Class 5 Maths Chapter
8 Page 124
Maths Class 12
Ch. 5 Mind Map
Class 12 JEE Maths Chapter 5
MCQ Questions
NCERT Math Chapter 5 Class 5
Worksheet
NCERT Maths Class 12
Hindi
Class 12 Math Chapter 5
in Hindi by Vedahntu
Relation and Function
Class 12
Class 12
Algebra Chapters
Class 12 Chapter 5
Miscellaneous Exercise
Maths Class 12 Chapter
3 Important 5 Mark Questions
Guide Class 12 Maths
PDF Download
Misc Ch. 5 Q 21
Maths Class 12
Chapter 1 Math Class 12 5
Marks Questions
NCERT Solutions
Class 12 Maths Book
Class 12 Maths
Lab Manual Activity 1 to 5 PDF
It Exercise Book
Class 12 Unit 5
Total Number of
Chapters in Maths Class 12
Chapter 5 Math Class 12
Notes Physics Wallah
Calculus
Class 12 Chapters
Teaching Aid Models
Maths Class 12 Schools
12 Maths
5th Lesson Name
Class 2 Math Chapter 5
in Hindi by Vedantu
Class 12 Maths NCERT Solution Chapter 5
List of Changing Tan Cos
Math Class 5
Loss 12 and 16
Chapter 5 Misc Ex Soln Class 12 Maths
Question 14 Learn CBSE
Differentiability Formula
Class 12
Explore more searches like Chapter 5 Maths Class 12 Maths
EVS NCERT Extra
Questions
Miscellaneous
Exercise Nepali
Subjects
Information
Practices
Magnetism Matter
All Formulas
People interested in Chapter 5 Maths Class 12 Maths also searched for
Book
Design
Time
Worksheet
Creative
Math
Map Study
Questions
Autoplay all GIFs
Change autoplay and other image settings here
Autoplay all GIFs
Flip the switch to turn them on
Autoplay GIFs
Image size
All
Small
Medium
Large
Extra large
At least... *
Customized Width
x
Customized Height
px
Please enter a number for Width and Height
Color
All
Color only
Black & white
Type
All
Photograph
Clipart
Line drawing
Animated GIF
Transparent
Layout
All
Square
Wide
Tall
People
All
Just faces
Head & shoulders
Date
All
Past 24 hours
Past week
Past month
Past year
License
All
All Creative Commons
Public domain
Free to share and use
Free to share and use commercially
Free to modify, share, and use
Free to modify, share, and use commercially
Learn more
Clear filters
SafeSearch:
Moderate
Strict
Moderate (default)
Off
Filter
Class 12 Maths Chapter
Name
Class 12 Maths
NCERT Solutions
Chapters of
Maths Class 12
Class 12 Maths
NCERT Index
Class 12 Maths Chapters
List
Class 12 Maths Chapter 5
Formulas
Class 12 Maths
NCERT PDF
Class 12th
Maths Chapters
Growth Chart Picture of
Class 5 Math Chapter 12
Class 12 Maths
All Chapters
Class 12 Maths Chapter 5
Examples
Maths Activity
Class 12 Chapter 5
Maths Grade 12
Unit 5
Class 12
JEE Maths
Class 12 Maths
NC
Maths Grade 12
Unit 5 Part 1
Class 12 Chapter 5
Formula
Class 12 Maths
Handwritten Notes
Maths Activity Class 12
with Observations
Maths Teacher
Class 12
Class 12 Maths
NCERT Index Page
NCERT Solutions for
Class 12 Maths Chapter 5
Class 12 Maths
NCERT Blueprints
Maths Class 12
Continuity
Class 5 Maths Chapter
8 Page 124
Maths Class 12
Ch. 5 Mind Map
Class 12 JEE Maths Chapter 5
MCQ Questions
NCERT Math Chapter 5 Class 5
Worksheet
NCERT Maths Class 12
Hindi
Class 12 Math Chapter 5
in Hindi by Vedahntu
Relation and Function
Class 12
Class 12
Algebra Chapters
Class 12 Chapter 5
Miscellaneous Exercise
Maths Class 12 Chapter
3 Important 5 Mark Questions
Guide Class 12 Maths
PDF Download
Misc Ch. 5 Q 21
Maths Class 12
Chapter 1 Math Class 12 5
Marks Questions
NCERT Solutions
Class 12 Maths Book
Class 12 Maths
Lab Manual Activity 1 to 5 PDF
It Exercise Book
Class 12 Unit 5
Total Number of
Chapters in Maths Class 12
Chapter 5 Math Class 12
Notes Physics Wallah
Calculus
Class 12 Chapters
Teaching Aid Models
Maths Class 12 Schools
12 Maths
5th Lesson Name
Class 2 Math Chapter 5
in Hindi by Vedantu
Class 12 Maths NCERT Solution Chapter 5
List of Changing Tan Cos
Math Class 5
Loss 12 and 16
Chapter 5 Misc Ex Soln Class 12 Maths
Question 14 Learn CBSE
Differentiability Formula
Class 12
768×1168
mathongo.com
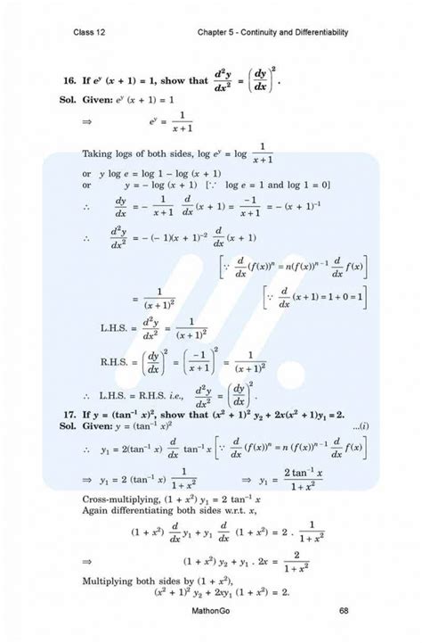
NCERT Solutions for Class 12 Maths Chapter 5 Exercise 5.…
1964×2778
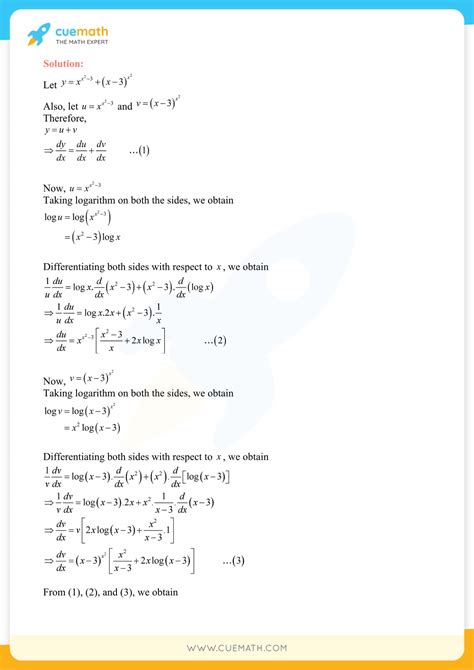
cuemath.com
NCERT Solutions for Class 12 Maths Chapter 5 Miscellane…
1742×2465
cuemath.com
NCERT Solutions for Class 12 Maths Chapter 5 Exercise 5.…
1903×2691
cuemath.com
NCERT Solutions for Class 12 Maths Chapter 5 Exercise 5.…
Related Searches
Class 5
Maths
Book
Design
Class 5
Maths
Time
Worksheet
Class 5
Maths
Creative
Math
Map
Study
Questions
in
Maths
Class 5
2292×3243
cuemath.com
NCERT Solutions for Class 12 Maths Chapter 5 Exercise 5.…
Related Searches
Chapter 5
Magnetism
and
Matter
All
Formulas
of
Class 12
768×1168
mathongo.com
NCERT Solutions for Class 12 Maths Chapter 5 Exercise 5.…
2479×3507
cuemath.com
NCERT Solutions for Class 12 Maths Chapter 5 Miscellane…
1806×2554
cuemath.com
NCERT Solutions for Class 12 Maths Chapter 5 Exercise 5.…
1817×2571
cuemath.com
NCERT Solutions for Class 12 Maths Chapter 5 Exercise 5.…
2033×2876
cuemath.com
NCERT Solutions for Class 12 Maths Chapter 5 Exercise 5.…
2248×3181
cuemath.com
NCERT Solutions for Class 12 Maths Chapter 5 Exercise 5.…
2013×2847
cuemath.com
NCERT Solutions for Class 12 Maths Chapter 5 Exercise 5.…
2394×3386
cuemath.com
NCERT Solutions for Class 12 Maths Chapter 5 Exercise 5.…
1700×2200
byjus.com
NCERT Solutions for Class 12 Maths Chapter 5 Continuity …
2122×3003
cuemath.com
NCERT Solutions for Class 12 Maths Chapter 5 Miscellane…
2119×2997
cuemath.com
NCERT Solutions for Class 12 Maths Chapter 5 Miscellane…
1879×2658
cuemath.com
NCERT Solutions for Class 12 Maths Chapter 5 Exercise 5.…
2020×2858
cuemath.com
NCERT Solutions for Class 12 Maths Chapter 5 Exercise 5.…
1955×2766
cuemath.com
NCERT Solutions for Class 12 Maths Chapter 5 Exercise 5.…
2479×3507
cuemath.com
NCERT Solutions for Class 12 Maths Chapter 5 Exercise 5.…
2154×3047
cuemath.com
NCERT Solutions for Class 12 Maths Chapter 5 Exercise 5.…
1844×2609
cuemath.com
NCERT Solutions for Class 12 Maths Chapter 5 Miscellane…
2236×3163
cuemath.com
NCERT Solutions for Class 12 Maths Chapter 5 Miscellane…
Related Searches
Class 5 Chapter 12
EVS
NCERT
Extra
Questions
Class 12
Miscellaneous
Chapter 5
Class 12 Chapter 5
Exercise
Nepali
Subjects
Class 12
Information
Practices
Chapter 5
1868×2643
cuemath.com
NCERT Solutions for Class 12 Maths Chapter 5 Exercise 5.…
1833×2594
cuemath.com
NCERT Solutions for Class 12 Maths Chapter 5 Exercise 5.…
1778×2514
cuemath.com
NCERT Solutions for Class 12 Maths Chapter 5 Exercise 5.…
2043×2889
cuemath.com
NCERT Solutions for Class 12 Maths Chapter 5 Exercise 5.…
2027×2867
cuemath.com
NCERT Solutions for Class 12 Maths Chapter 5 Exercise 5.…
Related Products
Vectors and Three-Dimensional Geom…
Relations and Functions
Inverse Trigonometric Fun…
1907×2698
cuemath.com
NCERT Solutions for Class 12 Maths Chapter 5 Miscellane…
2246×3179
cuemath.com
NCERT Solutions for Class 12 Maths Chapter 5 Miscellane…
1921×2717
cuemath.com
NCERT Solutions for Class 12 Maths Chapter 5 Exercise 5.…
1745×2470
cuemath.com
NCERT Solutions for Class 12 Maths Chapter 5 Exercise 5.…
1831×2590
cuemath.com
NCERT Solutions for Class 12 Maths Chapter 5 Exercise 5.…
2361×3340
cuemath.com
NCERT Solutions for Class 12 Maths Chapter 5 Exercise 5.…
1924×2722
cuemath.com
NCERT Solutions for Class 12 Maths Chapter 5 Exercise 5.…
Some results have been hidden because they may be inaccessible to you.
Show inaccessible results
Report an inappropriate content
Please select one of the options below.
Not Relevant
Offensive
Adult
Child Sexual Abuse
Feedback